Предмет: Алгебра,
автор: jamyx
ПОМОГИТЕ СРОЧНО ПОЖАЛУЙСТА !!!!!!!!!
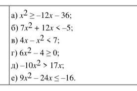
Приложения:
Ответы
Автор ответа:
4
чел , это нереально
Похожие вопросы
Предмет: Русский язык,
автор: 123456789174
Предмет: Английский язык,
автор: ушеник
Предмет: Английский язык,
автор: 2ооо2
Предмет: Математика,
автор: kkaterina101583
Предмет: Математика,
автор: tenangelina08