Предмет: Алгебра,
автор: foxniceevgen
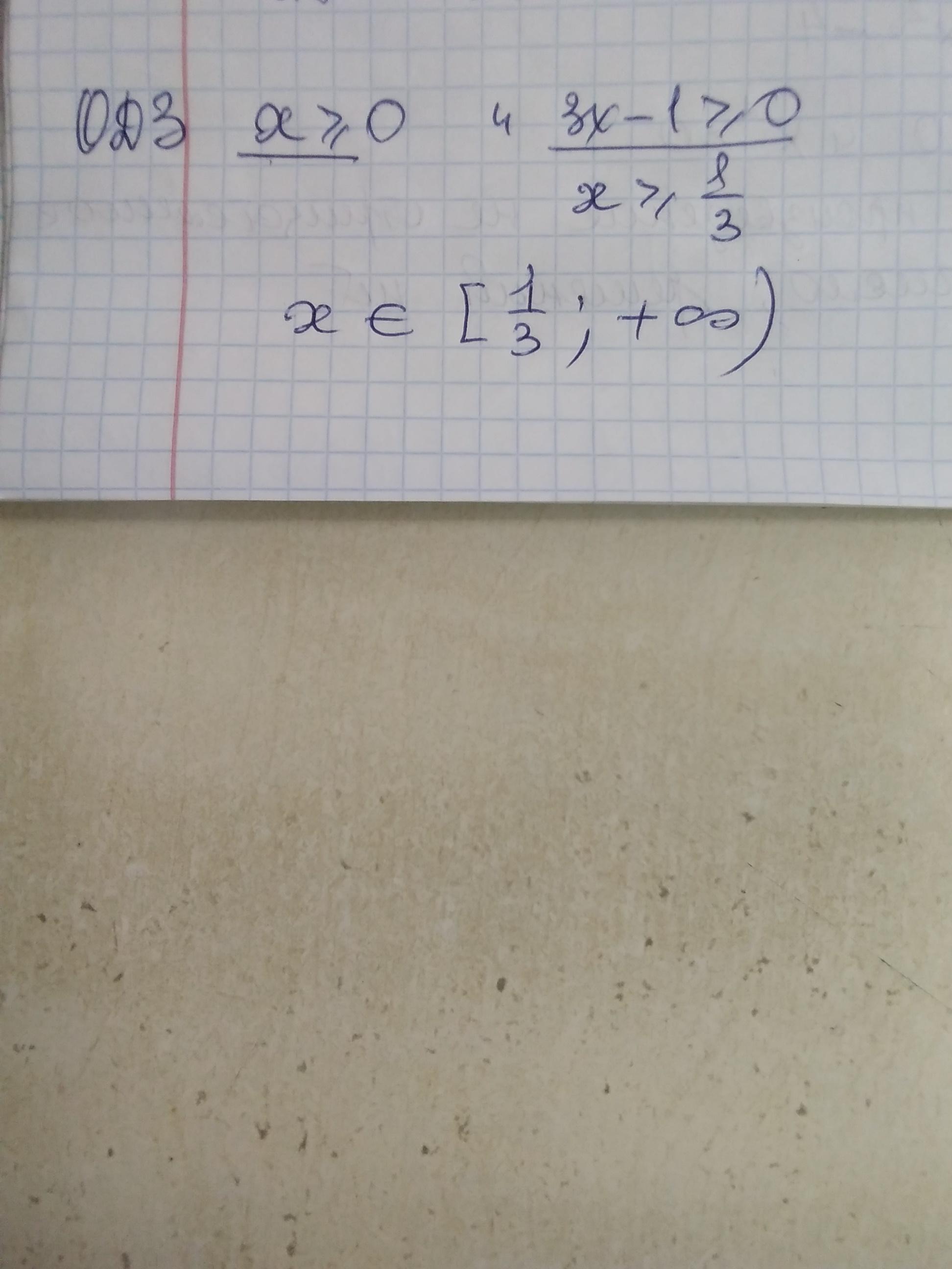
укажите допустимые значения переменной:
Ответы
Автор ответа:
0
Смотри . . ...... ... ..... . .
Приложения:
Похожие вопросы
Предмет: Русский язык,
автор: maiyamilena
Предмет: Русский язык,
автор: LizaKoshka
Предмет: Русский язык,
автор: vusrus353535
Предмет: Математика,
автор: Kaka2008
Предмет: Другие предметы,
автор: artemrudenko0