Предмет: Математика,
автор: andrekrishtopa813
Найдите ошибки (помогите!)
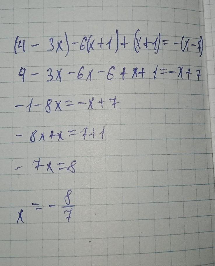
(4-3x) -6(x+1) + (x+1) = -(x-7)
4+3x-5x+1+x-1=x+7
x+4=x+7
x+x=-7+4
2x=-11
x=-11+2
x=13
Ответы
Автор ответа:
0
Пошаговое объяснение:
на фото, надеюсь помогла)
Приложения:
Похожие вопросы
Предмет: Русский язык,
автор: Киоко95
Предмет: Русский язык,
автор: ассс5
Предмет: Немецкий язык,
автор: buldakova2000
Предмет: Геометрия,
автор: Kekusya92
Предмет: Информатика,
автор: aurelka53