Предмет: Математика,
автор: linetaln267
допоможіть будь ласка
Приложения:
Ответы
Автор ответа:
0
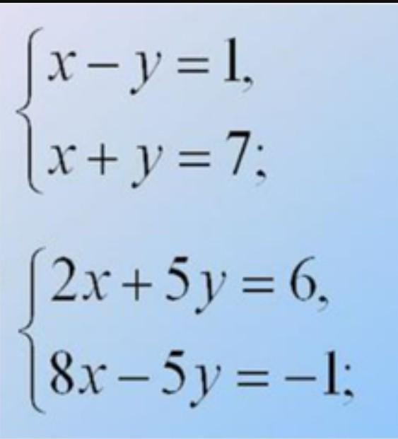
Пошаговое объяснение:
1. (х, у) = ( 4,3 )
2. ( х,у) = ( 1/2, 1)
Похожие вопросы
Предмет: Русский язык,
автор: Маринет101
Предмет: Русский язык,
автор: Алёнука15
Предмет: Русский язык,
автор: LevSharkevich
Предмет: Английский язык,
автор: stochka25
Предмет: ОБЖ,
автор: anna2898