Предмет: Математика,
автор: olamelnikova053
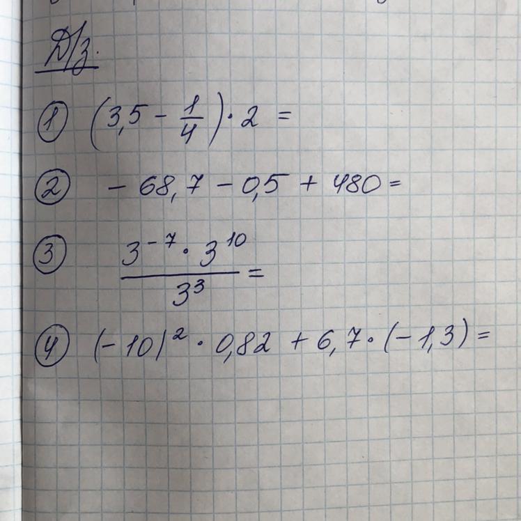
‼️СРОЧНО ПОМОГИТЕ У МЕНЯ 20 МИНУТ‼️ Пожалуйста с объяснением
Приложения:
Ответы
Автор ответа:
0
Ответ:
Тут всё просто, можно лучший ответ
Приложения:
Похожие вопросы
Предмет: Окружающий мир,
автор: гренка007
Предмет: Русский язык,
автор: Ашилова
Предмет: Другие предметы,
автор: ola81
Предмет: Математика,
автор: mirasbeklyudmila
Предмет: Українська мова,
автор: Аноним