Предмет: Физика,
автор: nikshaaa
ТЕРМІНОВО БУДЬ ЛАСКА!
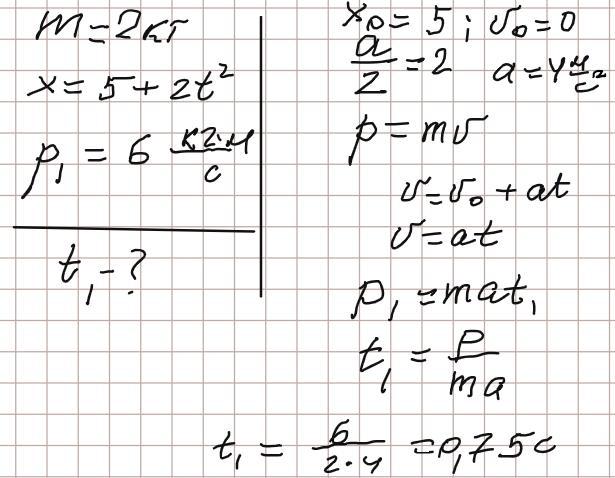
Рух матеріальної точки, маса якої 2 кг описується рівнянням x=-5+2t2. Визначте момент часу, у який імпульс точки дорівнює 6 кг*м/с.
Ответы
Автор ответа:
1
Відповідь: 0,75 с
Пояснення:
Приложения:
Похожие вопросы
Предмет: Английский язык,
автор: леюю
Предмет: Русский язык,
автор: feoann
Предмет: Русский язык,
автор: Диляра86
Предмет: Математика,
автор: mardjan764
Предмет: Английский язык,
автор: iramokanunasy