Предмет: Математика,
автор: levchenkosasha151
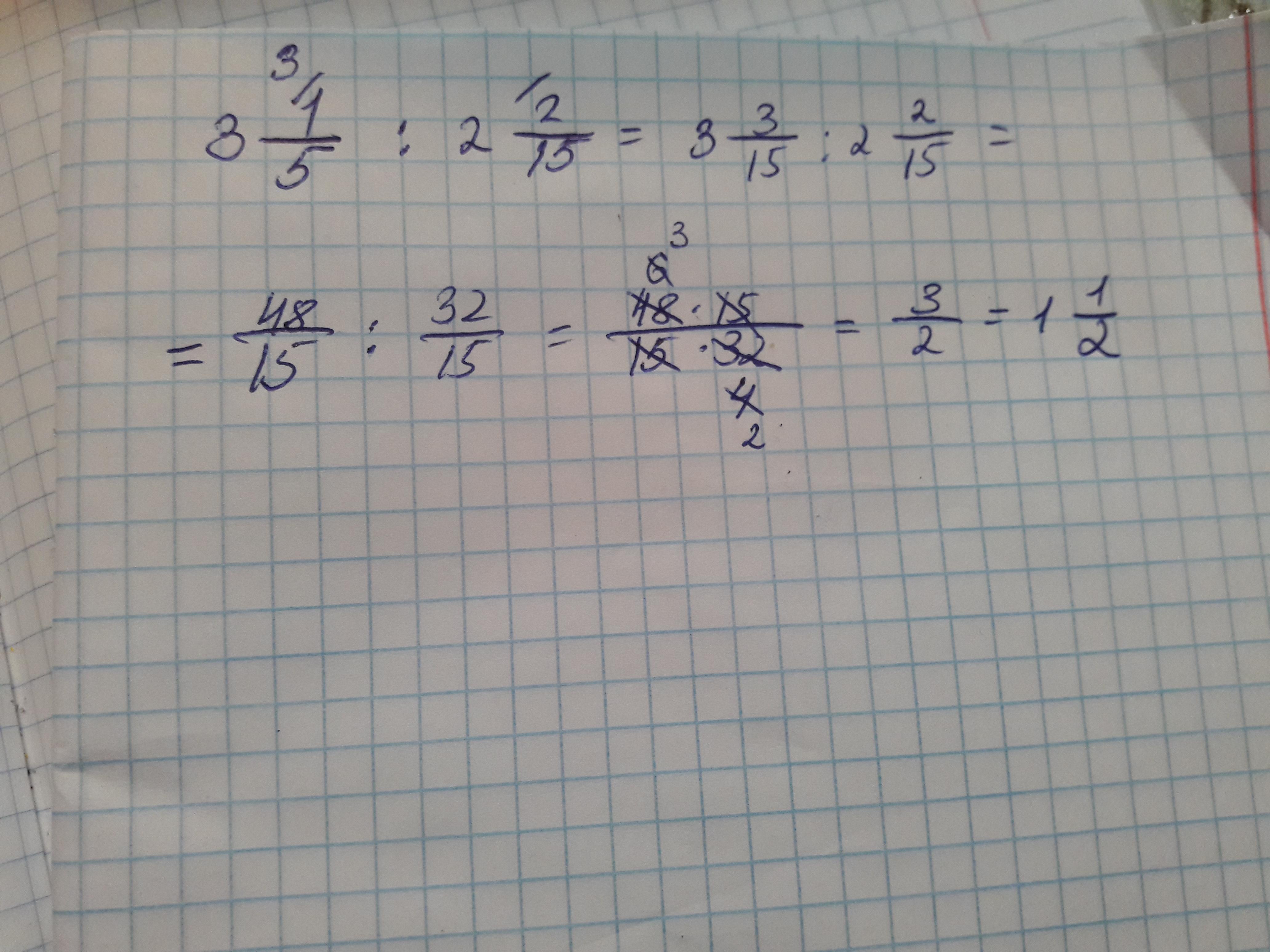
3 целых 1/5 | 2 целых 2/15
Ответы
Автор ответа:
0
Вот ответ снизу и решение,и пожалуйста можно лучший ответ
Приложения:
Похожие вопросы
Предмет: Английский язык,
автор: Vitali750
Предмет: Українська мова,
автор: galag9955
Предмет: Русский язык,
автор: вик188
Предмет: Биология,
автор: nikitosikkudin050
Предмет: Русский язык,
автор: ItzAdvyStyles