Предмет: Геометрия, автор: AnnaP1l1nok

РЕШИТЕ СРОЧНО УМОЛЯЮЮЮ. СПАСИТЕ РЕБЯТ!!!! ОТДАЮ ВСЕ БАЛЛЫЫ(((

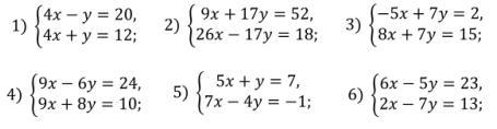
Приложения:

Ответы

Автор ответа: ivanchudin123
0

Ответ:

это же изи

Объяснение:

если не можешь решить, воспользуйся фотомач

Похожие вопросы
Предмет: Русский язык, автор: АлександрПетрович228
Помогите плис
Тесты.
1) Какие отношения устанавливаются между частями сложного бессоюзного предложения?
Гремят соловьи, заливаются жаворонки, свистят синицы, тоненькими голосами поют дети.
а) перечисление;
б)сопоставление;
в) причина;
г) пояснение.
2. Укажите неверное утверждение.
а) Части бессоюзного сложного предложения могут связываться только сочинительной связью;
б) запятая ставится, если в предложении перечисляются какие-то факты и можно вставить союз и;
в) если вторая часть предложения указывает на причину того, о чем говорится в первой, то между частями бессоюзного предложения ставится двоеточие.
3.Укажите бессоюзное сложное предложение, между частями которых ставится запятая.
а) Днем жарко весело в голубом небе круглятся белые облака.
б) Мы солнца в дороге не видели днем погода была грозовая.
в) Дождь прошел вечернее небо очистилось в селе было тихо.
Предмет: Математика, автор: Аноним