Предмет: Физика,
автор: doppovinegar
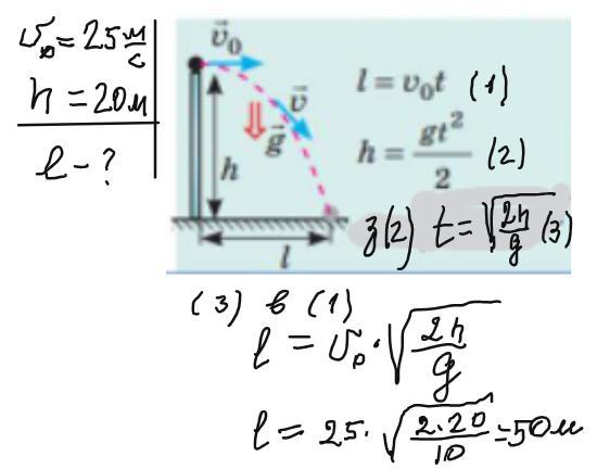
м'яч горизонтально кинуто зі швидкістю 25м/с з висоти 20м. визначити дальність польоту м'яча
Ответы
Автор ответа:
0
Відповідь: 50 м
Пояснення:
Приложения:
Похожие вопросы
Предмет: Русский язык,
автор: Destrooy1
Предмет: Другие предметы,
автор: артур476
Предмет: Русский язык,
автор: Аноним
Предмет: Английский язык,
автор: igrok10
Предмет: Русский язык,
автор: elinaliza2006