Предмет: Математика,
автор: artacryt
помогите пж пж!!!!!!!!!!!!!!!!!!!!!!!!!!!!!!!!!!!!!!!!!!!!!!!!!!!!!!!!!!!!!!!!!!!!!!!!!!!!!!!!!!!!!!!!!!!!!!!!!!!!!!!!!!!!!!!!!!!!!!!!!!!!!!!!!!!!!!!!!!!!!!!!!!!!!!!!!!!!!!!!!!!!!!!!!!!!!!!!!!!!!!!!!!!!!!!!!!!!!!!!!!!!!!!!!!!!!!!!!!!!!!!!!!!!!!!!!!!!!!!!!!!!!!!!!!!!!
Приложения:
Ответы
Автор ответа:
1
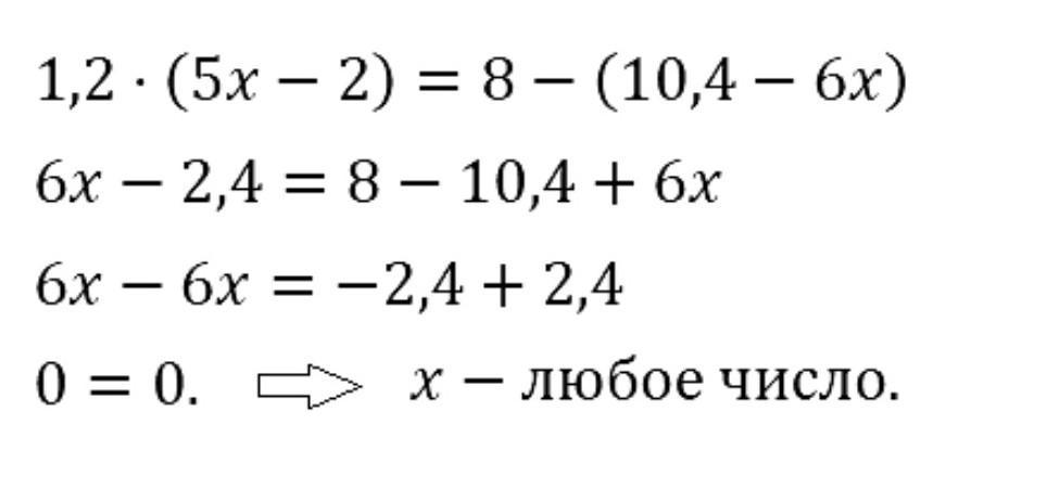
Ответ:
Смотри на фото во вложении
Фон такой, так как на компьютере делала
Приложения:
artacryt:
а зачем во втором 42 делить на 0,7
мы 42 человека, занимающихся волейболлом делим на 70%-это в десяти ной дроби 0,7
*десятичной
правило:чтобы найти число по его заданному значению, надо просто это число разделить на дробь(в данном случае - процент)
это правило и для дробей, и для процентов
спс
не за что, обращайся
Похожие вопросы
Предмет: Русский язык,
автор: Аноним
Предмет: Окружающий мир,
автор: ник3372
Предмет: Қазақ тiлi,
автор: каратпасоздер
Предмет: Другие предметы,
автор: dillonxxx01
Предмет: Литература,
автор: zeliboba71