Предмет: Алгебра,
автор: saschyakuta
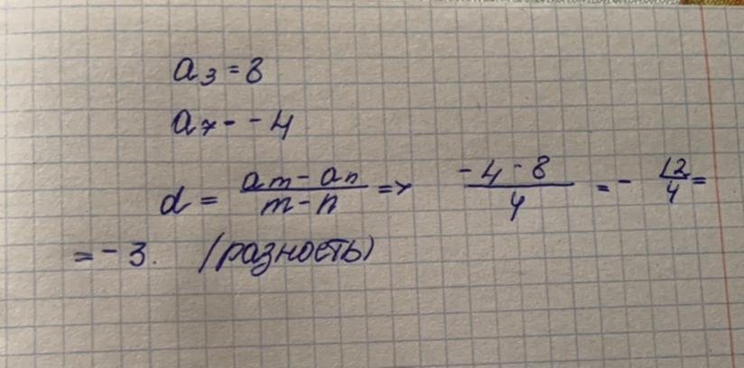
третий член арифметической прогрессии (an) равен 8 а седьмой равен -4 Найдите разность этой прогрессии
Ответы
Автор ответа:
1
Решение в прикрепленном фото
Приложения:
Похожие вопросы
Предмет: Русский язык,
автор: olesya18013
Предмет: Русский язык,
автор: zaira1237
Предмет: Английский язык,
автор: 1234567252
Предмет: Физика,
автор: ggfhgyg
Предмет: Информатика,
автор: yaroslawmydriy3