Предмет: Алгебра,
автор: elvira4967
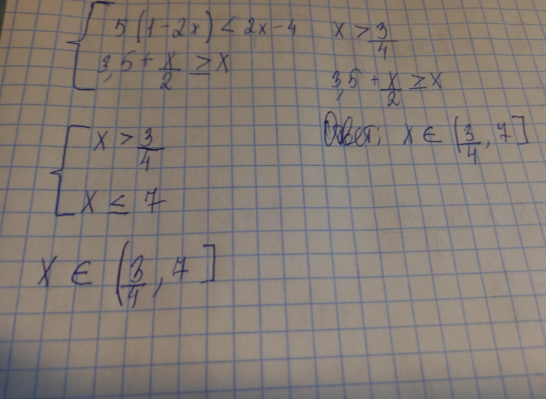
Найдите целые решения системы неравенств даю 23 бала
Приложения:
Ответы
Автор ответа:
0
Ответ:
Решение на фотке,
Объяснение:
Хорошего дня, успехов в учёбе,
Приложения:
Похожие вопросы
Предмет: Русский язык,
автор: OtabekHursanboyev
Предмет: Русский язык,
автор: vanah
Предмет: Русский язык,
автор: Sargis10
Предмет: Английский язык,
автор: amosovavika53mailru
Предмет: Русский язык,
автор: marjonca2013