Предмет: Математика,
автор: krisqnx
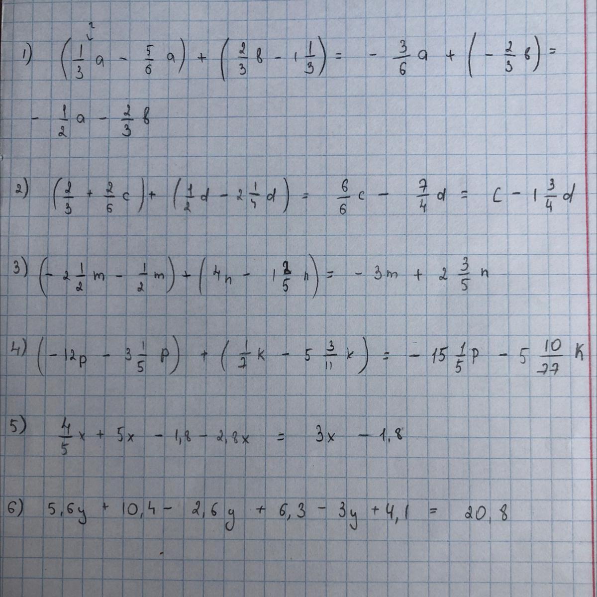
Помогите пожалуйста даю 20 баллов
Приложения:
Ответы
Автор ответа:
1
надеюсь правильноооооо
Приложения:
Похожие вопросы
Предмет: Английский язык,
автор: мио16
Предмет: Русский язык,
автор: ученик88888754
Предмет: Русский язык,
автор: dimitriev9
Предмет: Химия,
автор: everlast112
Предмет: Русский язык,
автор: lovemi47