Предмет: Алгебра,
автор: bogdanvaluh113
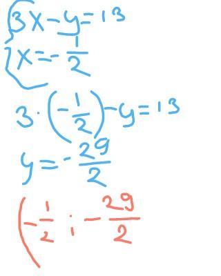
3x-y=13
2x+2x=-2
Розвязати рівняння методом підстановки
Ответы
Автор ответа:
0
Объяснение:
(^.^)(^.^)(^.^)(^.^)(^.^)
Приложения:
Похожие вопросы
Предмет: Русский язык,
автор: abzal1221
Предмет: Русский язык,
автор: vladbaranov07
Предмет: Русский язык,
автор: назерке41
Предмет: Алгебра,
автор: sergeyrepin08