Предмет: Математика,
автор: Cyxapuk57
Решите пожалуйста уравнения
Приложения:
Cyxapuk57:
Можно пожалуйста с действиями
Ответы
Автор ответа:
1
Ответ:
Пошаговое объяснение:
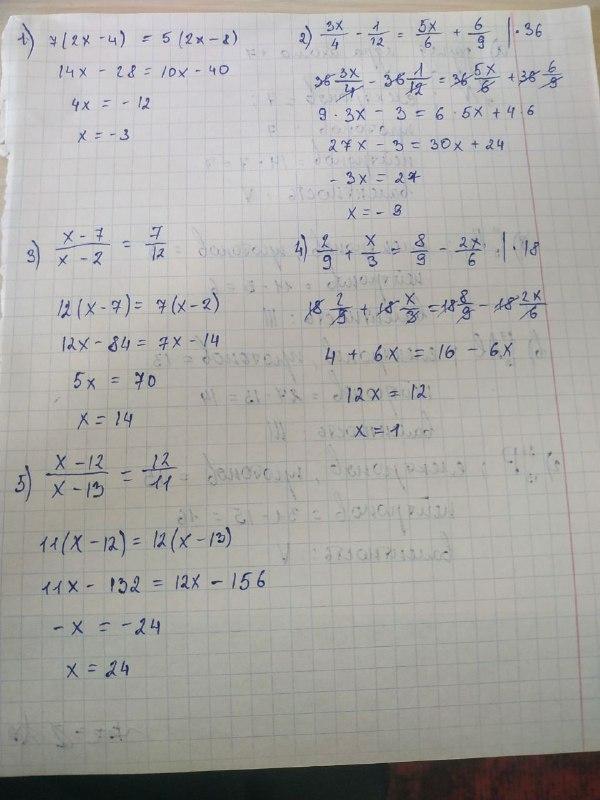
всё на фотографии
Приложения:
Спасибо
Автор ответа:
1
Ответ:
1)7(2х-4)=5(3х-8)
14х-28=10х-40
14х-10х=-40+28
4х=-12
х=-3
2)3х/4-1/12=5х/6+6/9
27х-30х=24+3
-3х=27
х=-9
3)х-7/х-2=7/12
х-7/х-2=7/12,х≠2
12(х-7)=7(х-2)
12х-84=7х-14
12х-7х=-14+84
5х=70
х=14,х≠2
х=14
4)2/9+х/9=8/9-2х/6
4+6х=16-4
12х=12
х=1
5)х-12/х-13=12/11
х-12/х-13=12/11,х≠13
11(х-12)=12(х-13)
11х-132=12х-156
11х-12х=-156+132
-х=24,х≠13
х=24
Спасибо
Похожие вопросы
Предмет: Қазақ тiлi,
автор: TS2023
Предмет: Технология,
автор: барби27
Предмет: Английский язык,
автор: ВикторияVika00
Предмет: Математика,
автор: bosko71
Предмет: Английский язык,
автор: PeanutButterJelly