Предмет: Математика,
автор: ganchevapolinaua
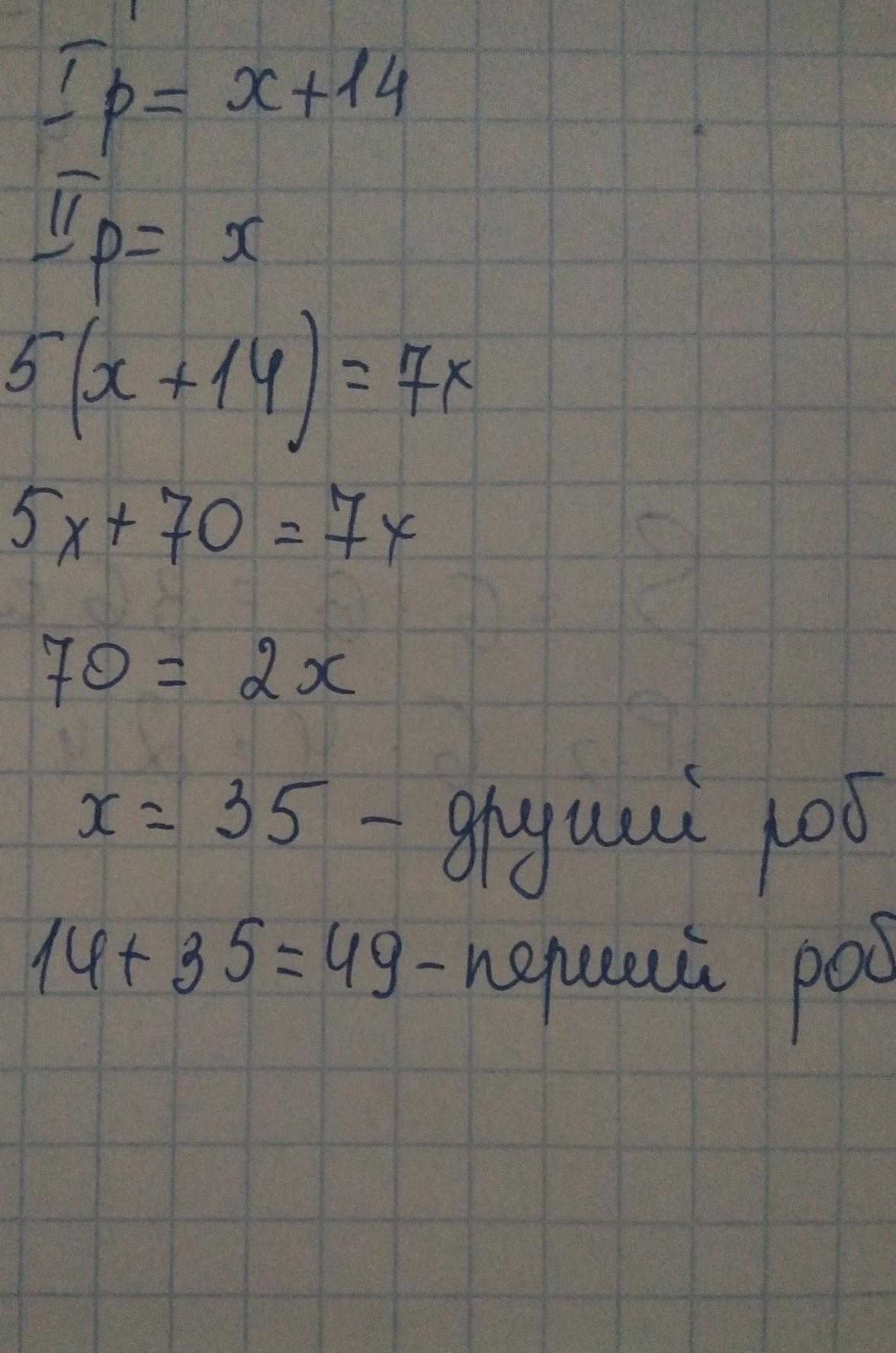
I робітник за 5 годин зробив таку саму кiлькiсть деталей, як II робітник за 7 годин. Скільки деталей за годину робили робітники, якщо II робітник вироблял на 14 деталей меньше, ніж I ?
Ответы
Автор ответа:
1
Ответ:
......................
Приложения:
Похожие вопросы
Предмет: Русский язык,
автор: FebriGuns
Предмет: Английский язык,
автор: аннила
Предмет: Английский язык,
автор: мила431
Предмет: Английский язык,
автор: anastasiyastri1
Предмет: Русский язык,
автор: bumbumbum17