Предмет: Математика,
автор: aleksia58
помогите пожалуйста срочно нужно
Приложения:
Ответы
Автор ответа:
1
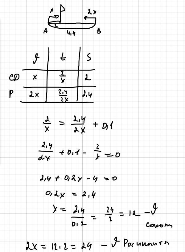
Ответ:
Пошаговое объяснение:
Приложения:
Похожие вопросы
Предмет: Українська мова,
автор: дашканяшка9
Предмет: Русский язык,
автор: LeraMin0293
Предмет: Русский язык,
автор: Karinaburdina
Предмет: Английский язык,
автор: vlad128282
Предмет: Литература,
автор: fjddhidgj