Предмет: Алгебра,
автор: estudiante23
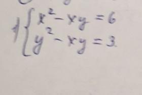
Помогите пожалуйста.
Приложения:
Ответы
Автор ответа:
0
Ответ:
(2;-1), (-2;1)
Объяснение:
решение на фото............
Приложения:
Похожие вопросы
Предмет: Английский язык,
автор: aknurdzhambulatova
Предмет: Қазақ тiлi,
автор: айдана65
Предмет: Английский язык,
автор: pashcovcka1
Предмет: Химия,
автор: misscat34