Предмет: Алгебра,
автор: Xzkto864963
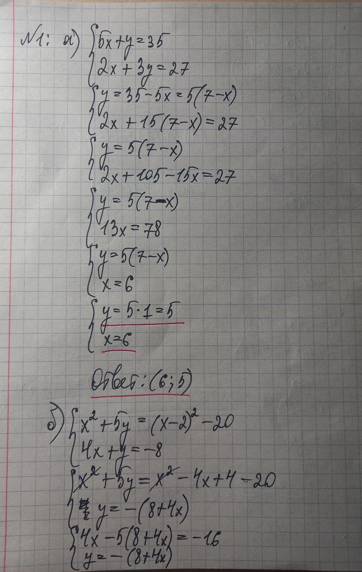
Решите Пожалуйста ......
Приложения:
Ответы
Автор ответа:
0
Ответ:
а) (6; 5)
б) (-1.5; -2)
г) (0; 0)
Объяснение:
На фотографиях.
Приложения:
Похожие вопросы
Предмет: Русский язык,
автор: ydarnik2013
Предмет: Русский язык,
автор: nnm211205
Предмет: Русский язык,
автор: yanaloginjva2
Предмет: Литература,
автор: olgamavr2006
Предмет: Английский язык,
автор: olga191