Предмет: Алгебра,
автор: c4iock0
Сократите дробь:
Помогите пожалуйста
Приложения:
Ответы
Автор ответа:
2
Ответ:
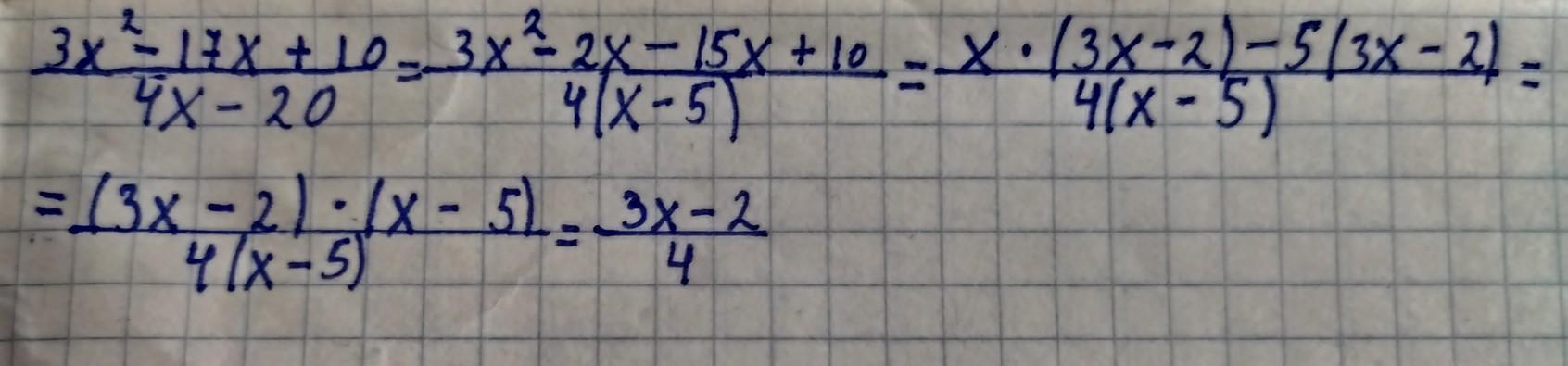
3x-2/4
Объяснение:
3x2-2x-15x+10/4(x-5)
x*(3x-2)-5(3x-2)/4(x-5)
(3x-2)*(x-5)/4(x-5)
3x-2/4
Приложения:
Автор ответа:
1
Объяснение:
Похожие вопросы
Предмет: Другие предметы,
автор: гайни3
Предмет: Русский язык,
автор: Сонческа
Предмет: Другие предметы,
автор: Наталя117
Предмет: Қазақ тiлi,
автор: Аноним
Предмет: Математика,
автор: Flosti