Предмет: Алгебра,
автор: Аноним
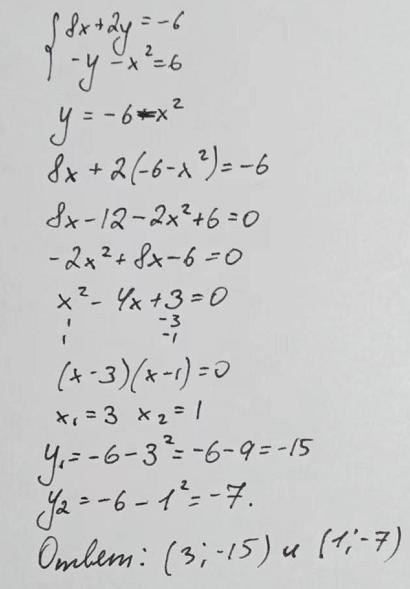
ПОМОГИТЕ ПОЖАЛУЙСТА СРОЧНО, РЕШЕНИЕ ПОДРОБНОЕ:
Приложения:
Ответы
Автор ответа:
0
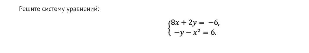
Решение на фотографии
Приложения:
Похожие вопросы
Предмет: Қазақ тiлi,
автор: лулдрудвлддвдп
Предмет: Другие предметы,
автор: marka555
Предмет: Русский язык,
автор: ivanbarkin
Предмет: Русский язык,
автор: pishulins
Предмет: Информатика,
автор: smolllev15