Предмет: Математика,
автор: usakovaesenia
Помогите прошу , можно с объяснениями и по действиям .
Приложения:
Ответы
Автор ответа:
1
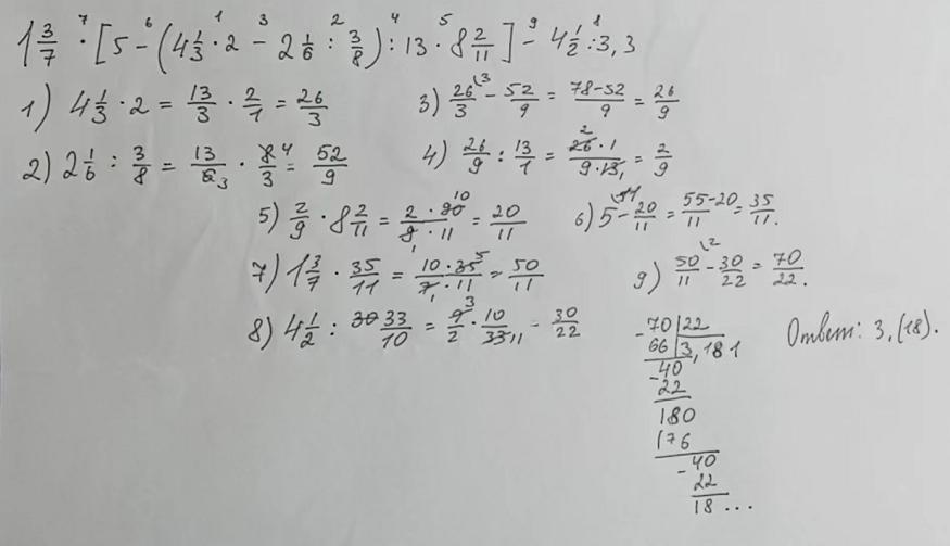
Решение на фотографии.
Приложения:
Автор ответа:
2
1 3/7*[5-(4 1/3*2-2 1/6:3/8):13*8 2/11]-4 1/2:3.3=
1)(4 1/3)*2-(2 1/6):3/8=8 2/3-(13/6)*(8/3)=8 6/9-5 7/9=2+(15-7)/9=2 8/9=26/9;
2)(26/9):13*8 2/11=(26/9)*(1/13)*(90/11)=20/11=1 9/11
3)5- 1 9/11=4 11/11- 1 9/11=3 2/11=35/11
4)(1 3/7) *(35/11)=10*35/(7*11)=50/11
5)4 1/2: 3.3=(9/2):(33/10)=9*10/(2*33)=15/11
6)50/11- 15/11=35/11=3 2/11
Дробная часть 2/11 смешанного числа 3 2/11 несократимая, не содержит в знаменателе 2 или 5 или их произведений, или степеней их произведений, поэтому не может быть представлена в виде конечной десятичной дроби.
превратим эту дробь в виде бесконечной периодической десятичной дроби.
2/11=0.18181818...значит, период здесь (18),
и 3 2/11= 3,(18)
Похожие вопросы
Предмет: Русский язык,
автор: нны
Предмет: Окружающий мир,
автор: СофаНайс
Предмет: Английский язык,
автор: Аноним
Предмет: Математика,
автор: Абадон2000
Предмет: Математика,
автор: polinamih31