Предмет: Математика, автор: vikaits

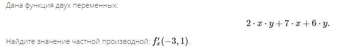
Дана функция двух переменных. Найдите значение частной производной: f′x(−3,1).
Можно просто ответом.

Приложения:

Ответы

Автор ответа: mathkot
2

Ответ:

\boxed{ \boldsymbol{f'_{x}(-3,1) = 0,8}}

Пошаговое объяснение:

Пусть

f = 2xy + 7x + 6y

Частная производная по x:

f_{x}' =  \dfrac{\partial f}{\partial x} \bigg(2xy + 7x + 6y \bigg) = y(2x)'_{x} + (7x)'_{x} + (6y)_{x}' = 2y + 7

f'_{x}(-3,1) =  2 \cdot (-3,1) + 7 = -6,2 + 7 = 0,8

Похожие вопросы
Предмет: Литература, автор: ddllddll