Предмет: Алгебра,
автор: Ananasik16122005
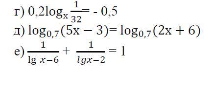
Ч2. помогите
Решить уравнения
Приложения:
Ответы
Автор ответа:
0
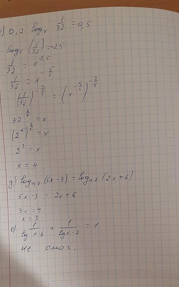
Ответ:
ответ в фотографии........
Приложения:
Похожие вопросы
Предмет: Русский язык,
автор: месси50
Предмет: Русский язык,
автор: LukerGames1
Предмет: Русский язык,
автор: sedovaelvira
Предмет: Геометрия,
автор: msnigur49
Предмет: Английский язык,
автор: islam123432