Предмет: Алгебра,
автор: kamila030k
Пожалуйста помогите
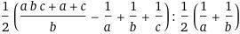
Упростите выражение: 1/b×(abc+a+c)-1/a+1/b+1/c:1/a+1/b
Ответы
Автор ответа:
0
Ответ: воoооотттт...
Приложения:
Похожие вопросы
Предмет: Английский язык,
автор: тим318
Предмет: Українська мова,
автор: SashokPyrozhok1
Предмет: Английский язык,
автор: PriLiPkO777
Предмет: Информатика,
автор: MrDlor
Предмет: Математика,
автор: 77788812