Предмет: Математика,
автор: k1iwnl
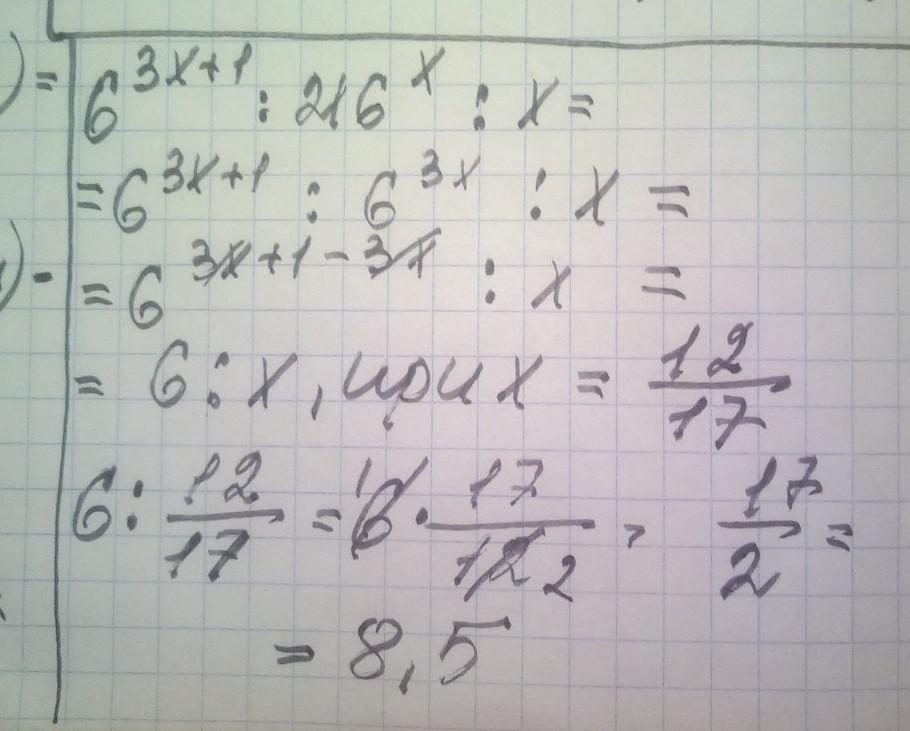
6^3x+1 : 216^x : x
при x = 12/17
Ответы
Автор ответа:
2
Ответ:
решение смотри на фотографии
Приложения:
k1iwnl:
спасибо друг
слушай можешь еще раз помоч?
Похожие вопросы
Предмет: Русский язык,
автор: klonderd
Предмет: Русский язык,
автор: женыски
Предмет: Русский язык,
автор: mashenka1211
Предмет: Физика,
автор: 1a2b3c4d77