Предмет: Алгебра,
автор: sgdrgsgegseseg
помогите решить!!!!!!!!!!!!!!!!!!!!!!!!
Приложения:
Ответы
Автор ответа:
1
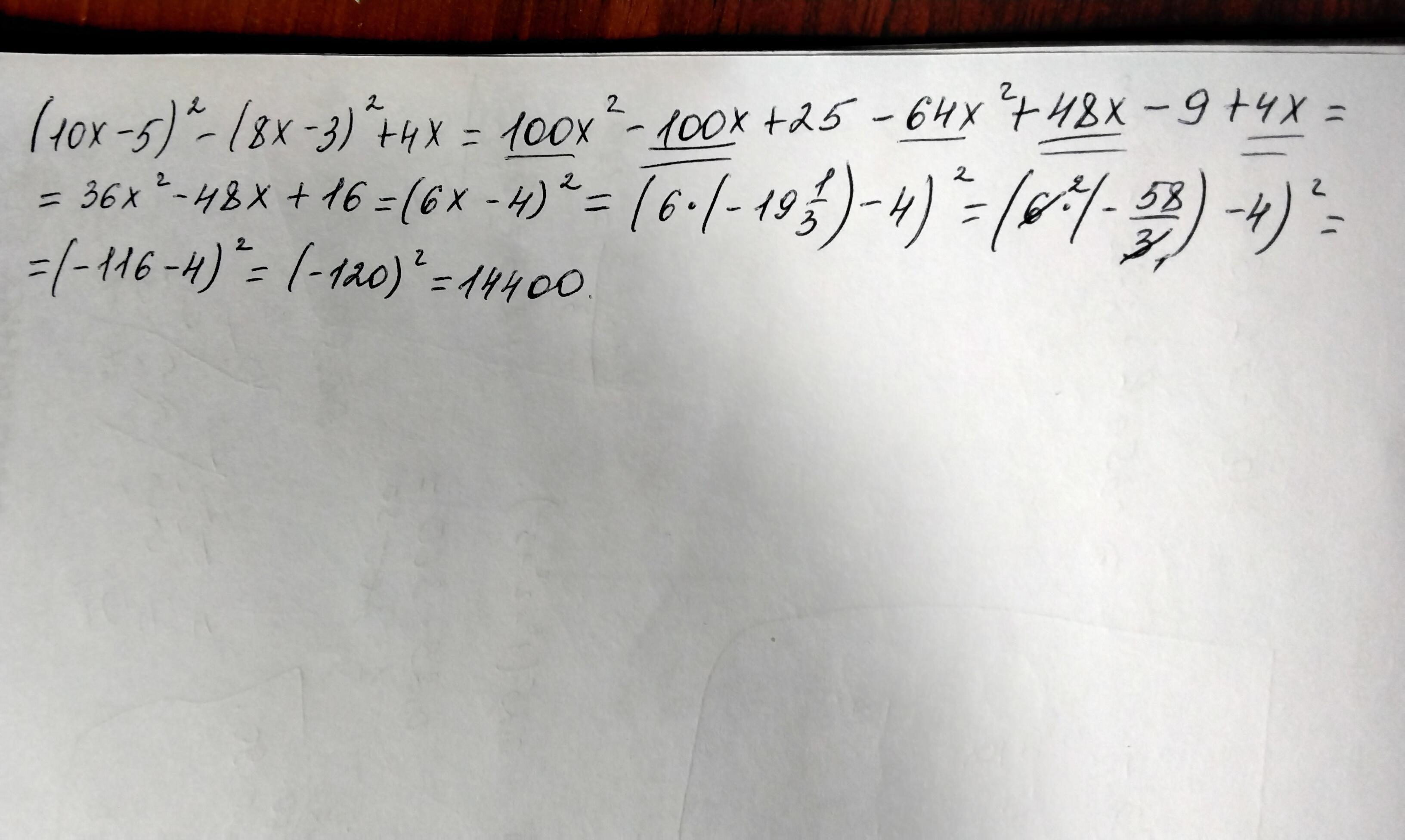
Ответ:
Объяснение:
раскрываем скобки по формуле квадрата разности
(a - b)^2 = a^2 - 2ab + b^2
Приложения:
Автор ответа:
1
Ответ:
Надеюсь правильно<3333
Приложения:
sgdrgsgegseseg:
а можешь скинуть текстом? (если не сложно)
Похожие вопросы
Предмет: Қазақ тiлi,
автор: stas847
Предмет: Другие предметы,
автор: 678Kordroy67
Предмет: Беларуская мова,
автор: elenabarmuta
Предмет: Математика,
автор: satt2424
Предмет: Математика,
автор: nurzadaklara07