Предмет: Алгебра, автор: irunchik16

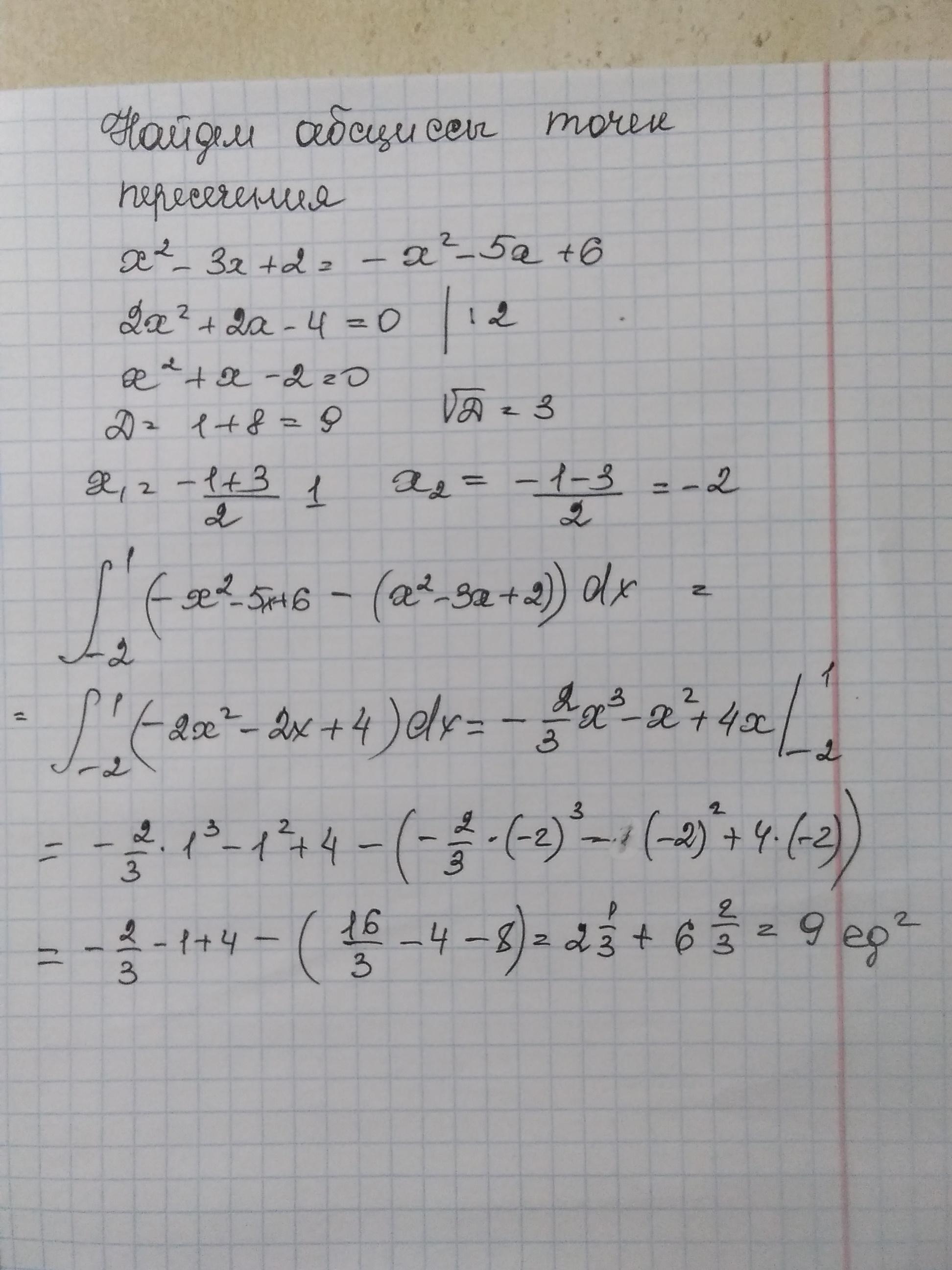
Найти площадь фигуры ограниченной линиями у=х^2-3х+2 и у=-х^2-5х+6
Расписать обязательно!

Ответы

Автор ответа: MizoriesKun
2

Смотри . . . . . . . .. . .. . . .. ... ... . . ..

Приложения:

irunchik16: Спасибо вам
irunchik16: Помогите с теорией вероятности?
irunchik16: У меня тут вопрос на странице
Похожие вопросы
Предмет: Русский язык, автор: Kotinotic
6 Перепишите. Глаголы в повелительном наклонении подчеркните одной чер¬той, а глаголы в изъявительном наклонении — двумя, устно объясните написание букв е и и. I. 1) Вы пиш.те красиво и грамотно. Пиш..те мне чаще. 2) Вспомн..те стихотворение А. С. Пушкина «Чаадаеву». Когда вспомн..те, то прочтите. 3) рынес.те из комнаты лишние вещи. Когда вынес.те вещи, скажите мне об этом. 4) Как только выйд..те из лесу, увид..ге поля нашего колхоза. Выйд..те на несколько минут из комнаты; её надо проветрить. 5) Выбер..те из этих статей материал, нужный для доклада. Когда выбер..те, приступайте к оформлению доклада. II. 1) Стукнете мне в окно, когда пойдёте на рыбалку. Когда вы стукн..те, я мигом соберусь. 2) Выскаж..те всё, что вы дума.-те об этом деле. Если вы всё выскаж..те, то етан..те спокойнее. 3) Выпиш..те из текста определения. После того как вы их выпиш..те, выбер..те из них наиболее яркие эпитеты. 4) Прыгш.те на лыжах с этого трамплина. Когда вы прыгн..те, почувствуете большое удо-вольствие. 5) Если буд..те в Ялте, обязательно посетите домик Чехова.
Предмет: Английский язык, автор: Алинка311827
Предмет: Алгебра, автор: ВальтерБуслаев