Предмет: Алгебра,
автор: ngulomova69
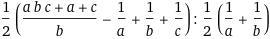
упростите выражение 1/b*(abc+a+c)-1/a+1/b+1/c:1/a+1/b
Ответы
Автор ответа:
3
Ответ: вооот
Об'яснение:
Приложения:
Похожие вопросы
Предмет: Русский язык,
автор: elmira49
Предмет: Английский язык,
автор: тату04
Предмет: Русский язык,
автор: elmira49
Предмет: Алгебра,
автор: timasagitov
Предмет: Алгебра,
автор: kirillpaturov138