Предмет: Информатика,
автор: arturremhel97
СРОЧНО!!!! (Python)
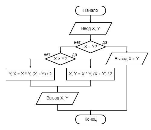
Задание №3. Даны действительные числа ХиҮ, которые не равны друг дру- гу. Представьте алгоритм замены наименьшего из этих двух чисел в их сред- нее арифметическое, а наибольшее – в их произведение в виде блок-схемы и запишите его программный код. Если будут вводиться равные числа, то выведите их сумму на экран. Например Результат 20 10 20 20 200 15 40
Приложения:
Ответы
Автор ответа:
1
Программа:
Python:
X, Y = map(float, input().split())
if X == Y:
print(round(X + Y))
elif X > Y:
X, Y = X * Y, (X + Y) / 2
print(round(X), round(Y))
else:
Y, X = X * Y, (X + Y) / 2
print(round(X), round(Y))
Блок-схема на фото.
Объяснение:
В начале вводятся числа X, Y в одну строку, через пробел. Если числа равны, выводим их сумма (всё равно, что Х + Х или Y + Y). Результат округлим, чтобы не было, например, нуля после точки. Если X > Y, делаем действия, значит X равен произведению чисел; Y - среднее значение чисел X и Y. А если Y > X, то просто меняем местами числа при вычислении.
Результат:
20 10
200 15
35 35
70
10 15
12 150
Приложения:
tihot63:
а можно без елиф
Похожие вопросы
Предмет: Русский язык,
автор: iwankripan2017
Предмет: Английский язык,
автор: олеся428
Предмет: Русский язык,
автор: vidjai
Предмет: МХК,
автор: denkarleono
Предмет: Литература,
автор: domer47