Предмет: Математика,
автор: kane7182
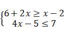
Решите систему неравенств
Приложения:
Ответы
Автор ответа:
0
всё на фото. там всё понятно
Приложения:
Kamuro20:
вроде так
Похожие вопросы
Предмет: Русский язык,
автор: krotmixa56
Предмет: Русский язык,
автор: mareta9889
Предмет: Русский язык,
автор: mareta9889
Предмет: Русский язык,
автор: 749280
Предмет: Геометрия,
автор: petrovaadelina23