Предмет: Физика,
автор: ncddp6fvzc
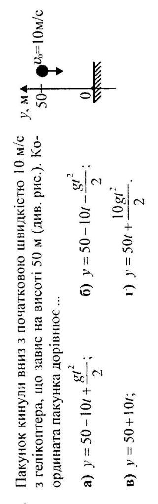
помогите!! очень нужно
Приложения:
Ответы
Автор ответа:
0
Ответ:
вроде б ,но я не химик ээээээээээххххээжажкжк
ncddp6fvzc:
Но это физика
Похожие вопросы
Предмет: Русский язык,
автор: shcola3
Предмет: Русский язык,
автор: Polena11
Предмет: Русский язык,
автор: ingaveklich41
Предмет: Українська мова,
автор: alenadanilisina307
Предмет: Информатика,
автор: bdfyufq896