Предмет: Алгебра,
автор: vikatsapana
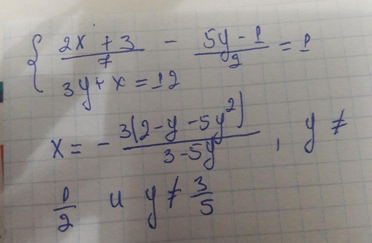
решите методом подстановки (пожалуйста очень надо, я ничего не понимаю╥﹏╥)
Приложения:
Ответы
Автор ответа:
0
- ыротмаарыпчрсьивввопв5в
Приложения:
vikatsapana:
можно решение для 7 класса (мы ещё не учили корни)
Я даже не понимаю вообще откуда у него взялся кубический корень в линейном уравнении?!
я в принципе не понимаю свою учительницу, она нам не объяснила как решать подобные примера, а задание дала
Я прислала решение ))
оо спасибушки, думаю я успею исправить
огромное спасибо
Автор ответа:
1
Решение в прикреплённом фото.
Приложения:
Похожие вопросы
Предмет: Окружающий мир,
автор: яяя464
Предмет: Английский язык,
автор: Гусейн2323
Предмет: Русский язык,
автор: YULIAPETROVA84
Предмет: Химия,
автор: egobI4
Предмет: Геометрия,
автор: Maxim9939384