Предмет: Математика,
автор: dipseydipsey
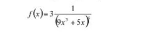
50 баллов. вычислить производную функции
Приложения:
Ответы
Автор ответа:
1
Ответ:
решение смотри на фотографии
Приложения:
Похожие вопросы
Предмет: Русский язык,
автор: Аноним
Предмет: Русский язык,
автор: егор958
Предмет: Английский язык,
автор: Алинка1210
Предмет: Математика,
автор: marina0785
Предмет: Українська мова,
автор: tanjau2014