Предмет: Математика,
автор: darinkakalabina
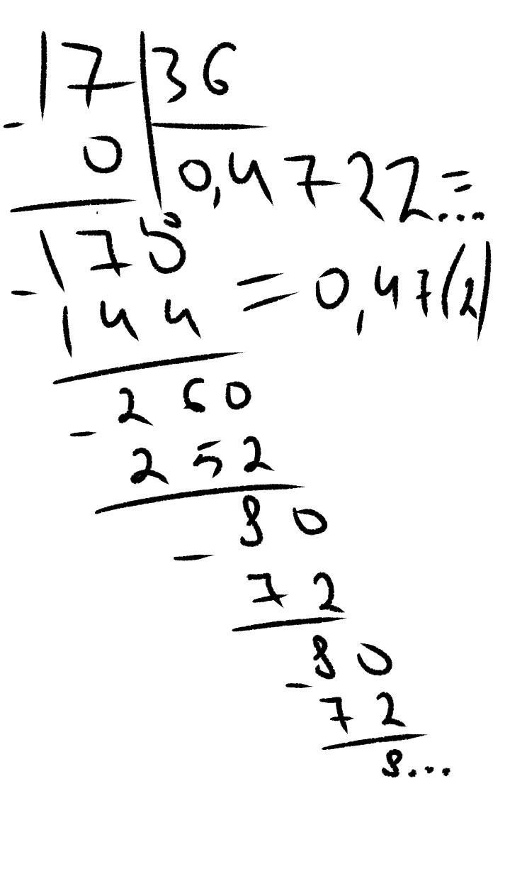
Перевести дробь 17/36, 7/15 в бесконечную периодическую дробь, можно пожалуйста делить в столбик на листе бумаги ? Не копируйте ответ с интернета !
Ответы
Автор ответа:
1
очень надеюсь,что все еще нужно и тут все верно
Приложения:
darinkakalabina:
спасибо большое
Похожие вопросы
Предмет: Русский язык,
автор: книга25
Предмет: Другие предметы,
автор: Аноним
Предмет: Русский язык,
автор: Назира111111
Предмет: Психология,
автор: maschakriki
Предмет: Английский язык,
автор: alexandr87