Предмет: Геометрия,
автор: berezuksvitlana195
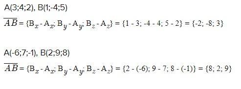
Знайдіть координати вектора АВ, якщо А(3;4;2), В(1;-4;5), А(-6;7;-1), В(2;9;8)
Ответы
Автор ответа:
1
дивіться фото..............................
Приложения:
Похожие вопросы
Предмет: Английский язык,
автор: Карнаущенко
Предмет: Русский язык,
автор: nurdosik85
Предмет: Другие предметы,
автор: atan123
Предмет: Математика,
автор: mariu4002
Предмет: Литература,
автор: radukovak