Предмет: Математика,
автор: alinaaktanova280
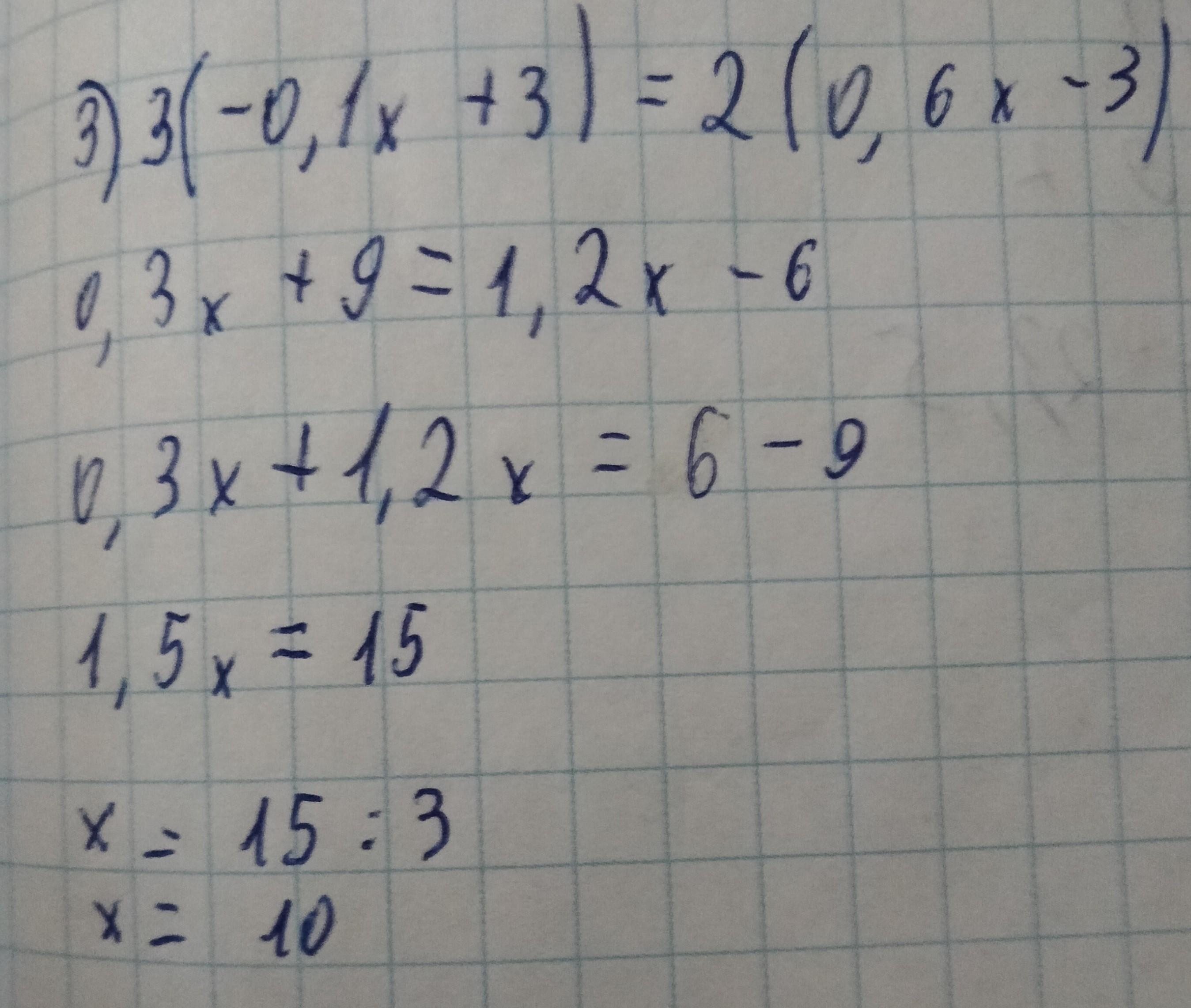
3(-0,1x+3)=2(0,6x-3) помогите пожалуйста, розвёрнутый ответ
Ответы
Автор ответа:
1
Ответ:
Вот держи ответ вроде правильно
Приложения:
Похожие вопросы
Предмет: Русский язык,
автор: OlesyaSchool
Предмет: Окружающий мир,
автор: Капитошка27
Предмет: Окружающий мир,
автор: ben24
Предмет: Математика,
автор: SannyPLAY