Предмет: Математика, автор: somicheva

Желательно с развернутым решением ​

Приложения:

sophiabalanyuk11: 1) (m+n)*(x-y+1)

Ответы

Автор ответа: manyny06
0

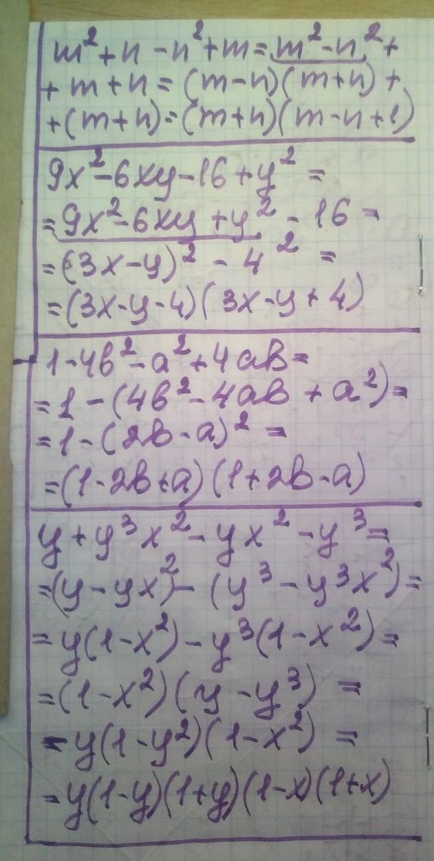
Ответ:

решение смотри на фотографии

Приложения:
Автор ответа: sophiabalanyuk11
0

Ответ:

1) (m+n)*(m-n+1)

2) (3x-y-4)*(3x-y+4)

3) (1-2b-a)*(1+2b+a)

4) y+x(во второй степени)*y(в третей степени)-y(в третей степени)

Похожие вопросы
Предмет: Английский язык, автор: Хуанхэ
переведите на англ
Джон приступил к работе в 3 часа, а в половине четвертого он ее уже закончил. 2.Комната была в ужасном беспорядке. Я поняла, что мне придется убрать ее. 3.Мы решили немного подождать. 4.В наши дни все понимают, как важно международное сотрудничество. 5.Нелли ничего не знала о работе своего литературного сообщества. 6.Джон работает на компьютере часами. Он испортил себе глаза. 7.Вики и ее подругам было приятно, когда учитель похвалил их. 8.На столе лежала стопка новых книг. 9.Шла последняя неделя четверти. В. 1.Алиса сказала, что Джон говорит с акцентом. 2.Джейн хотела знать, где ее двоюродные братья были вчера. 4.Эндрю сказал, что ничего не знал о катастрофе. 5.Кити знала, что ее сестра не умеет готовить. 6.Она удивилась, когда узнала, что Анна законсервировала яблоки. 7.Папа показал мне книгу, которую купил для брата. 8.Я спросила, куда уехала наша тетя.