Предмет: Алгебра,
автор: dimakolisov7777
Дать точный ответ,если можно(дам 90 баллов)
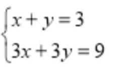
Розв'язати системи рівнянь графічним способом
Приложения:
Ответы
Автор ответа:
0
думаю правильно ответил
Объяснение:
можно лучший ответ
Приложения:
Похожие вопросы
Предмет: Українська мова,
автор: VIKA0720
Предмет: Английский язык,
автор: aya29
Предмет: Окружающий мир,
автор: а1р2и3н4а241087
Предмет: Алгебра,
автор: novoydarskiy13
Предмет: Биология,
автор: Аноним