Предмет: Математика,
автор: sasha83560
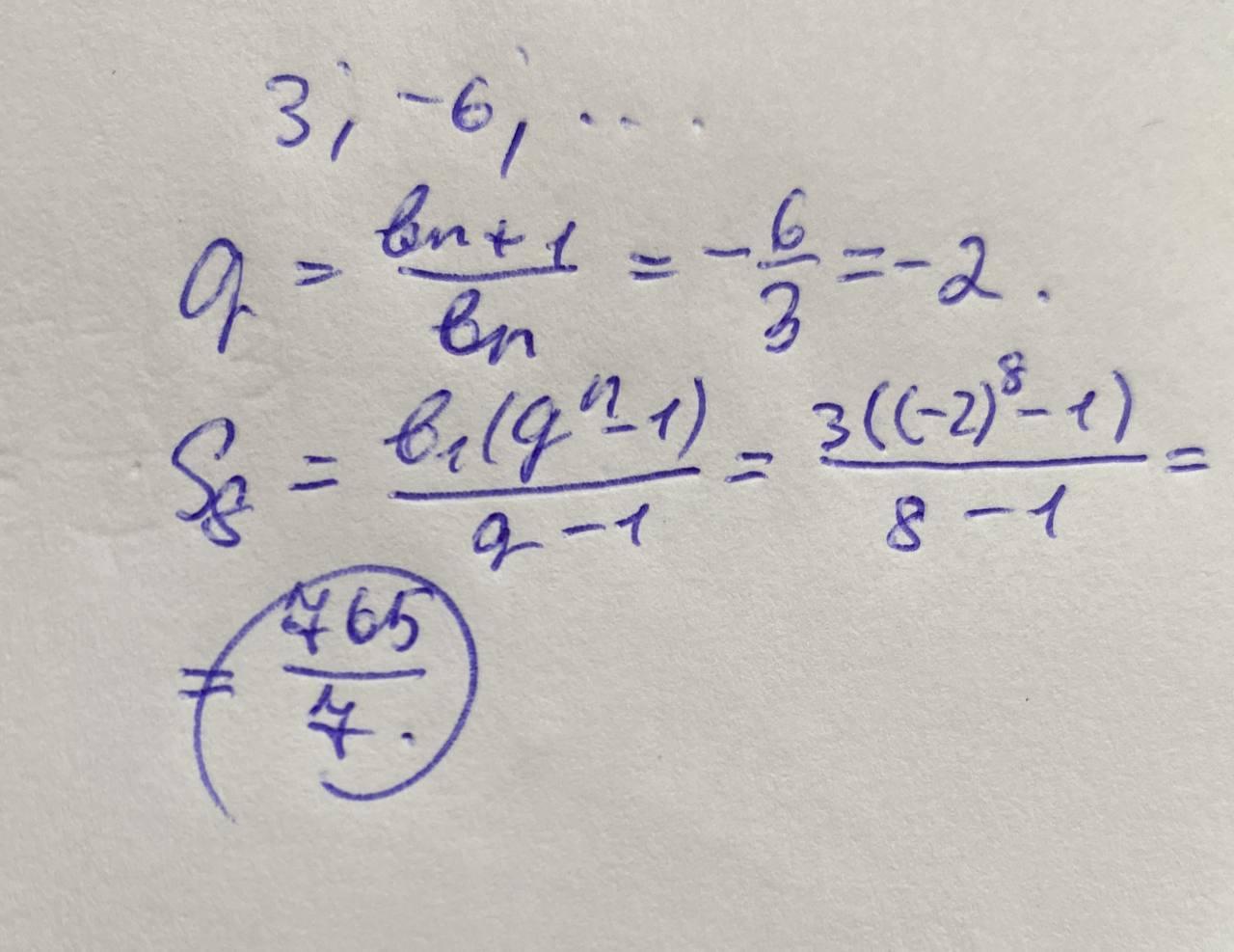
Знайдіть суму восьми певних членів геометричної прогресії (Bn):3;-6;
Ответы
Автор ответа:
1
дивіться фото.....................
Приложения:
Похожие вопросы
Предмет: Қазақ тiлi,
автор: Аноним
Предмет: Русский язык,
автор: danil228746969
Предмет: Английский язык,
автор: bshsb
Предмет: История,
автор: popova150874
Предмет: География,
автор: XDeshka666