Предмет: Математика,
автор: pupoche4
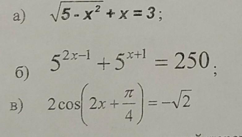
прошу решите "а" или "в" пожалуйста
Приложения:
Ответы
Автор ответа:
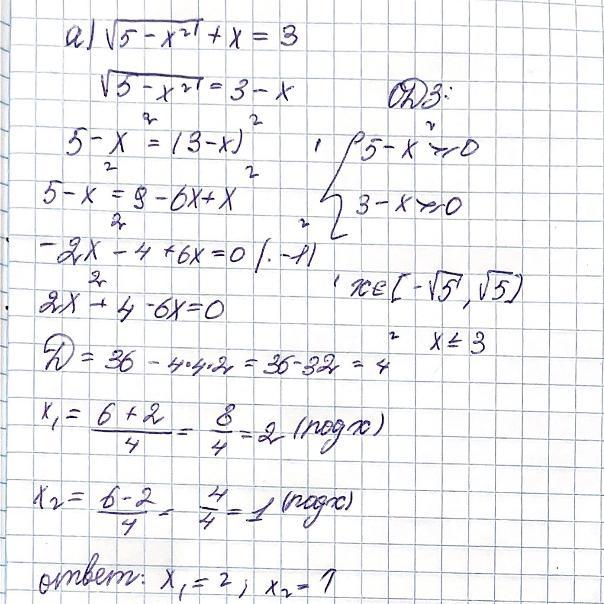
1
Перенесём х на правую часть уравнение, далее подкоренное выражение имеет смысл тогда и только тогда, когда подкопанное выражение не отрицательно.
Приложения:
math448:
Я ещё там решила под В и Б но они не влезли в фото))
Похожие вопросы
Предмет: Английский язык,
автор: Саша940
Предмет: Русский язык,
автор: Аноним
Предмет: Английский язык,
автор: miyfesal
Предмет: Математика,
автор: Аноним
Предмет: Українська мова,
автор: regi509