Предмет: Алгебра,
автор: albinatazhinaeva
украсьте выражение
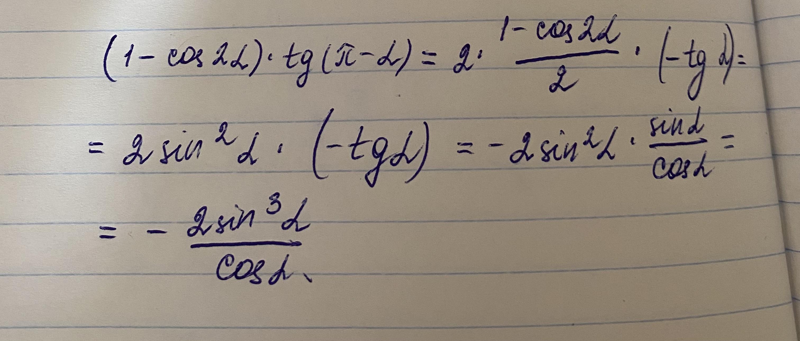
(1 - cos2a)tg(П- a)
Пожалуйста
СРОЧНО НАДО!!!!!!
Ответы
Автор ответа:
1
Решение на фото
\\\\\\
Приложения:
albinatazhinaeva:
спасибо, но уже поздно
Похожие вопросы
Предмет: Русский язык,
автор: нурсик3брлядрчгж
Предмет: Английский язык,
автор: 12345906
Предмет: Қазақ тiлi,
автор: rasul909
Предмет: Английский язык,
автор: Аноним
Предмет: Литература,
автор: gudovaolga2009p5x4wv