Предмет: Математика,
автор: maksimkogut04022008
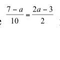
Помогите пожалуйста решить уравнение.
Приложения:
Ответы
Автор ответа:
1
Пошаговое объяснение:
................................
Приложения:
maksimkogut04022008:
Спасибо большое
Похожие вопросы
Предмет: Русский язык,
автор: enbasmanovan
Предмет: Русский язык,
автор: zoliny07
Предмет: Русский язык,
автор: занкович
Предмет: География,
автор: Alena19874
Предмет: Алгебра,
автор: Bogdana228