Предмет: Алгебра, автор: Kotyarata

Алгебра
Допоможіть виконати завдання, дуже потрібно

Приложения:

Ответы

Автор ответа: podkorytovaelena94
2

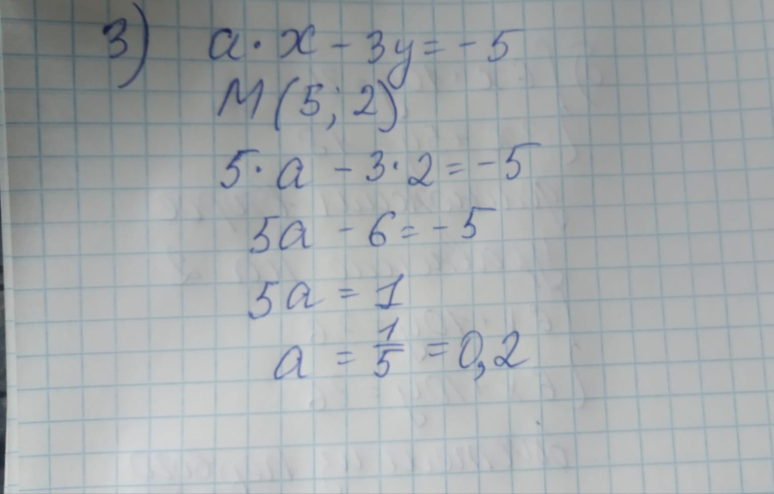
Ответ:

все на фотографиях

Приложения:

Kotyarata: Спасибо, очень выручаете
Похожие вопросы
Предмет: Русский язык, автор: timurkineev
1)среди предложений 16-20 найдите сложноподчиненное предложение с последовательным подчинением придаточных. напишите номер этого предложения. 2) среди предложений 1-8 найдите сложное предложение с бессоюзной и союзной подчинительной связью между частями. напишите номер этого предложения(1)Его звали Мухтар.(2) Но это был не тот знаменитый Мухтар, которого снимали в кинокартине «Ко мне, Мухтар!». (3)Тот Мухтар был породистой овчаркой и помогал разыскивать преступников. (4)А когда его ранили и он не мог больше работать, люди продолжали его кормить и за ним ухаживать. (5)А эта собака, про которую я хочу вам рассказать, была простой дворнягой. (6)Но она честно служила своим хозяевам: охраняла сад, играла с детьми и готова была броситься на любого, кто посмел бы их обидеть.(7) Но люди, у которых она жила, совсем не стоили её преданности. (8) Когда наступили холода, они её бросили на даче и уехали в город(16)В воскресенье мы с мужем, как всегда, приехали на дачу.(17) Пока Шура насыпал в птичью кормушку семечки и подвешивал для синиц сало, я прошла к дому. (18)У крыльца, вся сжавшись, грязная и такая худая, что можно было пересчитать все ребра, лежала собака и испуганно глядела на меня.(19)Мухтар остался жить у нас. (20)Он давно поправился, но уходить от нас не собирался, хотя мог это сделать свободно, потому что в нашем заборе было много выломанных досок.