Предмет: Математика,
автор: annazelinska2410
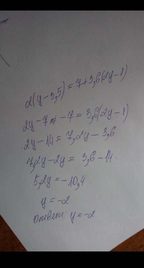
Розв'яжіть рівняння 2 - (у - 3.5) -7+3.6. (2y-1).
Ответы
Автор ответа:
1
Ответ:
думаю допомогла))))))))
Приложения:
Похожие вопросы
Предмет: Русский язык,
автор: Юрик456456446
Предмет: Русский язык,
автор: asiat811281mailru
Предмет: Русский язык,
автор: желанная1
Предмет: Физика,
автор: karlusha27
Предмет: Математика,
автор: savuvelykye