Предмет: Алгебра,
автор: bpisoha
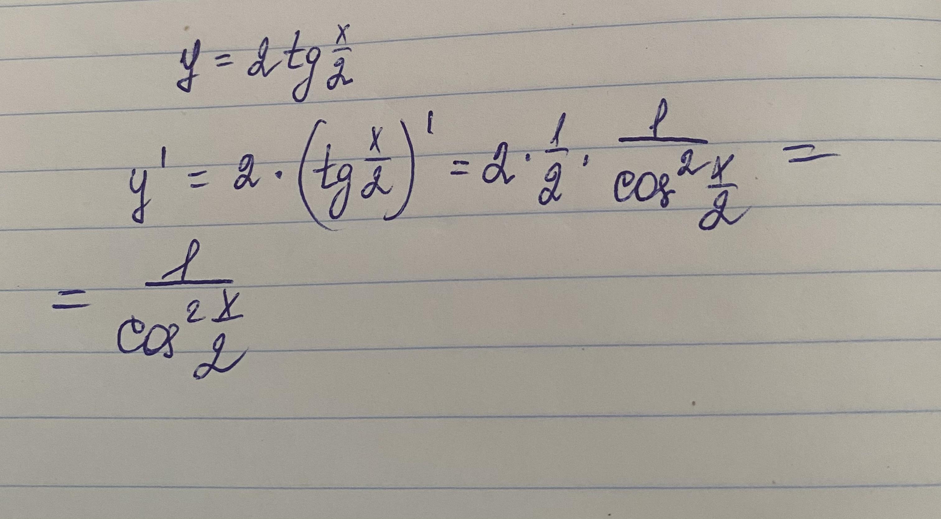
Найдите производную y=2tgx/2
Ответы
Автор ответа:
1
Решение на фото
|\|\|\||\|
Приложения:
Похожие вопросы
Предмет: Английский язык,
автор: 123к4ап
Предмет: Қазақ тiлi,
автор: skelet3
Предмет: Русский язык,
автор: SmilleCat
Предмет: Математика,
автор: Ferdany
Предмет: Английский язык,
автор: solnik50