Предмет: Алгебра, автор: daniakucher292

Знайдіть похідну 100

Приложения:

Ответы

Автор ответа: Аноним
2

(xⁿ)'=n*xⁿ⁻¹

(uv)'=u'v+uv'

(u/v)'=(u'v-uv')/v²

(√x)'=1/(2√x)

(cosx)'=sinx

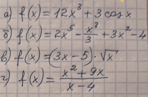
a) f'(x)=3*12x²-3sinx=36x²-3sinx

б) f'(x)=10x⁴-3x²/3+6x-0=10x⁴-x²+6x

в) f'(x)=(3x-5)'*√x+(3x-5)*(√x)'=3√x+(3x-5)/(2√x)=(6x+3x-5)/(2√x)=

(9x-5)/(2√x)

г) f'(x)=((2x+9)*(x-4)-1*(x²+9x))/(x-4)²=(2x²+9x-8x-36-x²-9x)/(x-4)²=

(x²-8x-36)/(x-4)²=


daniakucher292: Дякую:)
Автор ответа: NNNLLL54
1

Ответ:

Используем правила дифференцирования:    (u\pm v)'=u'\pm v'\ \ ,

(uv)'=u'v+uv'\ \ ,\ \ \ \Big(\dfrac{u}{v}\Big)'=\dfrac{u'v-uv'}{yv^2}   .

1)\ \ f(x)=12x^3+3cosx\ \ ,\\\\f'(x)=12\cdot 3x^2+3\cdot (-sinx)=36x^2-3\, sinx\\\\2)\ \ f(x)=2x^5-\dfrac{x^3}{3}+3x^2-4\\\\f'(x)=2\cdot 5x^4-\dfrac{1}{3}\cdot 3x^2+3\cdot 2x-0=10x^4-x^2+6x\\\\3)\ \ f(x)=(3x-5)\cdot \sqrt{x}\\\\f'(x)=3\cdot \sqrt{x}+(3x-5)\cdot \dfrac{1}{2\sqrt{x}}=\dfrac{6x+3x-5}{2\sqrt{x}}=\dfrac{9x-5}{2\sqrt{x}}\\\\4)\ \ f(x)=\dfrac{x^2+9x}{x-4}\\\\f'(x)=\dfrac{(2x+9)(x-4)-(x^2+9x)\cdot 1}{(x-4)^2}=\dfrac{2x^2+x-36-x^2-9x}{(x-4)^2}=\dfrac{x^2-8x-36}{(x-4)^2}


qqrnzgpfhqdbtlmj2012: Помогите пожалуйста вычислить определенный интеграл, не могу ни как сделать
Похожие вопросы
Предмет: Окружающий мир, автор: gazizullinazla
Предмет: Русский язык, автор: alinasatskaya
1. В каком предложении вместо слова информационный нужно употребить информативный?

А) Последние десятилетия характеризуются широким распространением разнообразных средств массовой информации, в том числе представленных в электронном виде на различных информационных носителях.
Б) Дмитрия Олеговича назначили руководителем новой информационной телепрограммы.
В) Опубликованная в журнале статья показалась мне весьма информационной и поэтому очень полезной.
Г) Современные информационные технологии помогают успешно и быстро решать многие проблемы

2. В каком предложении вместо слова каменный нужно употребить каменистый?

А) На востоке наравне с серебром и медью раскрылись каменные богатства Алтая.
Б) Стены мрачного коридора, а также потолок были высечены из сплошной каменной глыбы.
В) Здесь, на каменных вершинах, ничто не растет.
Г) У этого человека каменное сердце

3. В каком предложении вместо слова жизненный нужно употребить житейский?

А) Новую повесть хвалили, хотя кое-кто говорил, что она не всегда отражает подлинные жизненные явления?
Б) Он славился мудростью и раздавал жизненные советы, которые действительно помогали людям в сложных ситуациях.
В) Этому произведению живописи явно не хватает живых, жизненных красок.
Г) Правительство должно руководствоваться жизненными интересами страны

4. В каком предложении вместо слова БЕЗОБИДНЫЙ нужно использовать НЕОБИДЧИВЫЙ?

А) Заведующий отделением часто отчитывал нас без всяких оснований, но в сущности был совершенно безобидным человеком.
Б) Шутки брата далеко не всегда были безобидны.
В) Я люблю общительных, безобидных людей, которые понимают шутки.
Г) Мыши – совершенно безобидные существа, хотя многие их боятся.

5. В каком предложении вместо слова злой нужно употребить злостный?

А) Здесь было так неуютно и страшно, как в заколдованном царстве, где все уснуло по велению злой феи?
Б) Не по злой воле он допускал промахи и ошибки.
В) Имейте в виду, что злые браконьеры, являющиеся уголовными преступниками, будут непременно наказаны.
Г) Человек он был злой; ему непременно нужно было кого-то мучить.

6. В каком предложении вместо слова одеть нужно употребить надеть?

А) Мотоциклист одел шлем и нажал на педаль.
Б) Хозяин платил батракам мало, зато хорошо кормил и одевал.
В) Наша текстильная фабрика одевала всю область.
Г) Всех танцовщиц одели в одинаковые национальные костюмы

7. В каком предложении вместо слова будничный нужно употребить будний?

А) Однажды, в будничный день, поутру я с дедом разгребал на дворе снег.
Б) Из одной будничной обстановки пришлось бы увлечь ее в другую такую же или еще более однообразную и скучную.
В) Этот художник значительное место отводит изображению будничной стороны войны..
Г) «Вот мы и приехали домой»,- уже другим, будничным голосом сказал капитан.

Предмет: Алгебра, автор: 00112200