Предмет: Алгебра,
автор: zumabekalihovic
Помогите пж, очень срочно
Приложения:
zumabekalihovic:
варианты ответа: 27 12 9 18
Ответы
Автор ответа:
0
Ответ:
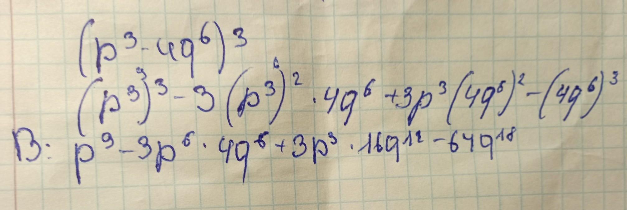
В: и дальше ответ
Объяснение:
раскрой скобки и скороти
Приложения:
варианты ответа: 27 9 12 18
Автор ответа:
1
Ответ:
Смотри решение на фото..
Приложения:
спасибо огромное
помог другу
Похожие вопросы
Предмет: Другие предметы,
автор: Аноним
Предмет: Русский язык,
автор: Аноним
Предмет: Русский язык,
автор: Оксанчик9
Предмет: География,
автор: sumini15
Предмет: Химия,
автор: maks89245