Предмет: Алгебра,
автор: 3OJIOTOu
-21х+110
Ответы
Автор ответа:
0
Если понравилось решение - нажимай "спасибо" и "лучший" (рядом с кнопкой "спасибо") :)
Приложения:
Автор ответа:
0
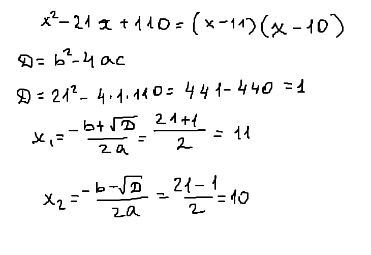
x^2-21x+110=(x-10)(x-11)=0
x=10
x=11
D=441-440=1
x12 = (-21+-1)/2=10 11
x=10
x=11
D=441-440=1
x12 = (-21+-1)/2=10 11
Приложения:
Похожие вопросы
Предмет: Математика,
автор: 1114555555
Предмет: География,
автор: Аноним
Предмет: Математика,
автор: klepikovamilena94
Предмет: Математика,
автор: лето2013
Предмет: Обществознание,
автор: Эльза02