Предмет: Алгебра,
автор: fokib54
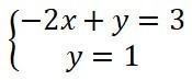
Розв’яжіть систему рівнянь?
Приложения:
Ответы
Автор ответа:
0
Ответ:
(-1:1)
Объяснение:
.....................................
Похожие вопросы
Предмет: Английский язык,
автор: 30122006zzz
Предмет: Русский язык,
автор: DAM33
Предмет: Русский язык,
автор: Аноним
Предмет: География,
автор: qwertyuiop2000x2016
Предмет: Алгебра,
автор: Malifen777